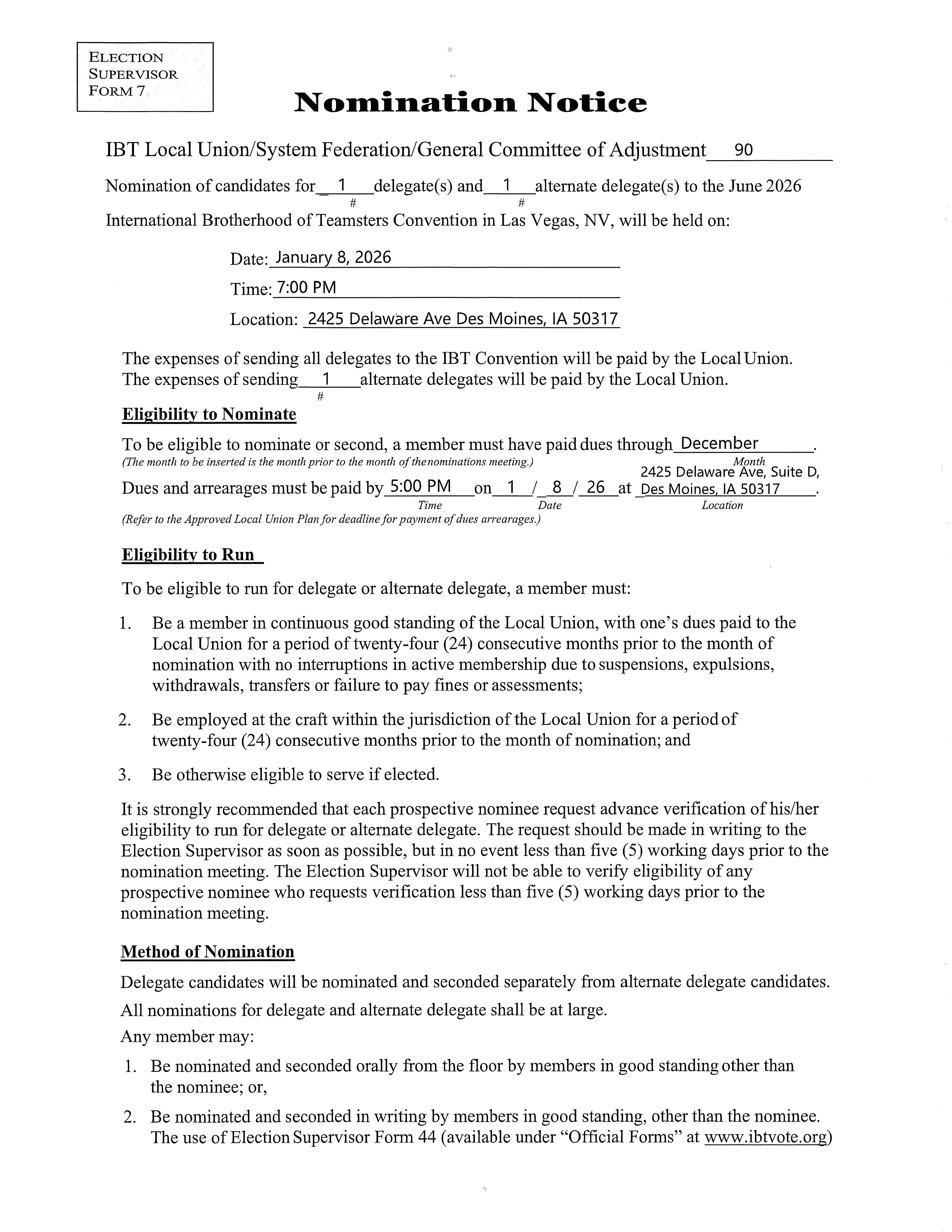
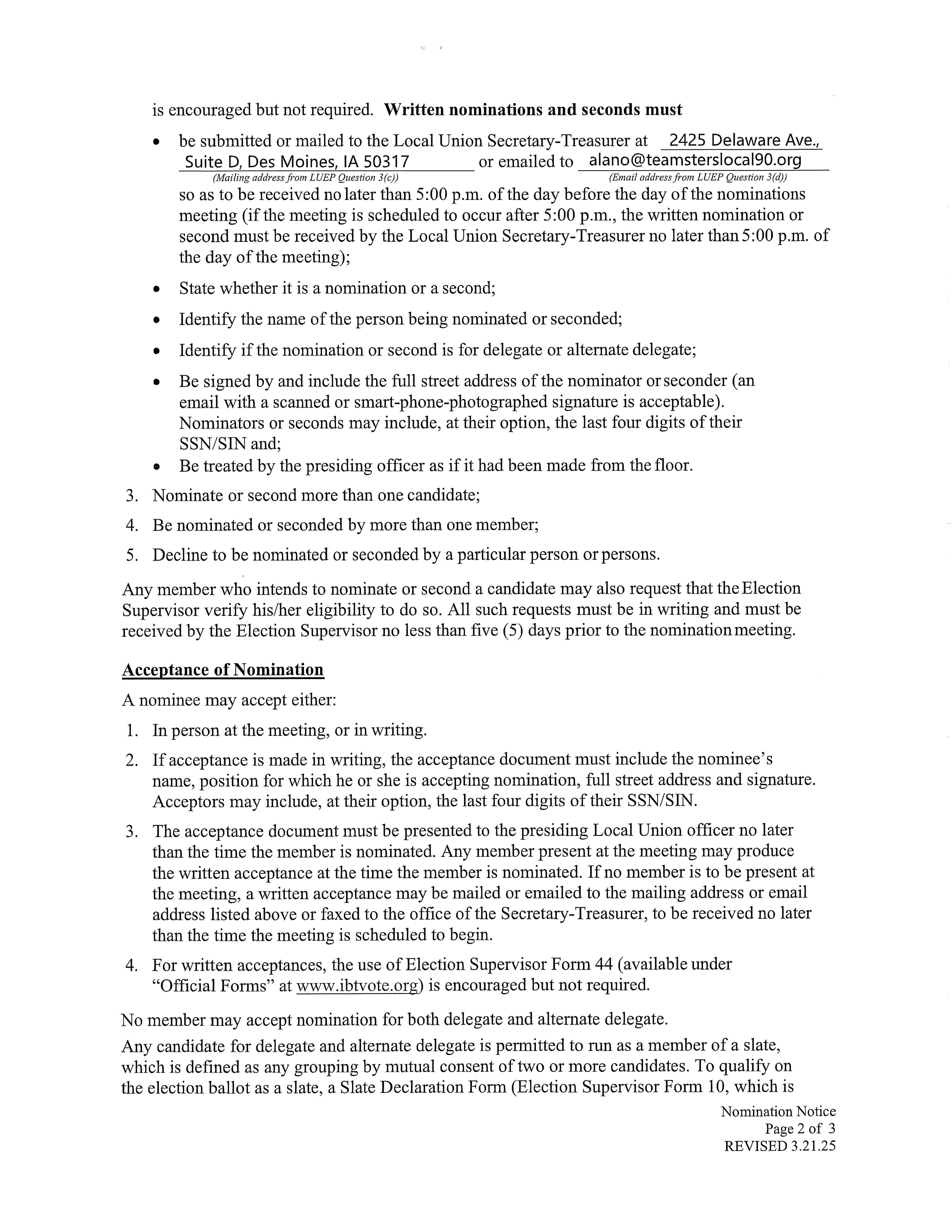
-
What We Do
Since 1903, we have been committed to representing and educating workers to empower them in their pursuit of a fair and just work environment. Our mission is centered around the development of workers and ensuring they receive a decent living wage, along with a safe and equitable workplace. Join us in our fight for fair wages, safe working conditions, and the rights of all workers. Together, we can build a stronger, more equitable future for everyone.
Who We Are
Teamsters Local 90 is the oldest Teamsters local in Iowa and one of the oldest in the country. Explore our website to learn more about our initiatives, resources, and how you can get involved. Thank you for visiting Local 90, where we stand in solidarity with workers everywhere.
Who We Represent
We represent freight drivers and dockworkers, healthcare workers, warehouse workers, public sector employees, manufacturing, soft drink, construction, pipeline, school bus drivers and monitors, and last but not least, all types of workers in package handling and parcel delivery.Click here to view our Privacy Policy



.jpg)

.jpg)

